2025 Vol. 47, No. 5

Display Method:
2025, 47(5): .
Abstract:
Sedimentary environment and facies types of Eocene Baoshi Formation in Pingbei area, Pinghu slope belt, Xihu Sag, East China Sea Basin
JIANG Yiming, ZHAO Hong, TANG Xianjun, JIANG Xue, XU Zhenzhong
2025, 47(5): 941-950. doi: 10.11781/sysydz2025050941
Abstract(308) HTML (108) PDF-CN(44)
Abstract:
The unclear understanding of the sedimentary environment and facies of the Baoshi Formation in the Pingbei area of the Pinghu slope belt, Xihu Sag, East China Sea Basin, has restricted the evaluation of the Baoshi Formation reservoirs and source rocks in this area, and hindered the progress in oil and gas exploration. Based on the redefinition of the Baoshi Formation strata, a systematic study of the sedimentary environment and facies of the Baoshi Formation from nine wells in the study area was conducted by integrating paleontology, trace element analysis, core observation, grain size analysis, and logging facies analysis. The types of sedimentary facies in the Baoshi Formation were clarified. The results showed that the Baoshi Formation in the Pingbei area had low contents of algae and palynomorphs, with hygrophilous fern spores being dominant. A small number of dinoflagellates, calcareous nannofossils, and foraminifera were present. These features indicated that during the deposition of the Baoshi Formation, the environment was a brackish marine-continental transitional setting under predominantly warm and humid climatic conditions. Comprehensive analysis of Sr, Ba, Ni, and V indicated that the Baoshi Formation was deposited under a weakly reducing, suboxic environment. Compared with the Tiantai slope belt, more freshwater terrestrial fossils were found in the Pingbei area, suggesting a relatively restricted transitional sedimentary environment between land and sea. The sedimentary environment and facies varied across different structural zones in the study area. In the Kongqueting structural zone, the Baoshi Formation was mainly characterized by deltaic sedimentary facies, primarily consisting of underwater distributary channels, mouth bars, and interdistributary bay microfacies, with limited development of sheet sand bodies. In the Baoyunting and Wuyunting structural zones, the Baoshi Formation was deposited in an environment influenced by local seawater, where tidal flat facies and intertidal sand bodies were developed. The intertidal zone mainly contained tidal channels, sand flats, mixed flats, and mud flats as depositional microfacies. In the southern part of the western slope belt, the Tiantai slope belt developed thick mudstone layers, suggesting restricted marine deposition with a relatively limited spatial distribution.
Quantitative analysis of development characteristics of pores, caves, and fractures in reservoirs controlled by sedimentary microfacies: a case study of dolomites in Sinian Dengying Formation, Penglai gas area, Sichuan Basin
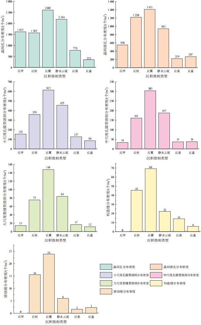
ZHOU Gang, WEN Long, LIU Yong, LUO Bing, ZHANG Benjian, LI Qi, YAN Wei, ZHONG Yuan, ZHANG Zili, ZENG Yunxian, LI Kunyu
2025, 47(5): 951-962. doi: 10.11781/sysydz2025050951
Abstract(183) HTML (102) PDF-CN(32)
Abstract:
Regarding the uncertainties in understanding the relationship between sedimentary microfacies types and their physical properties of dolomite reservoirs in the Sinian Dengying Formation, Penglai gas area, Sichuan Basin, the study aims to accurately describe the pore structure characteristics of these reservoirs and their correlation with sedimentary microfacies. The carbonate reservoirs in the second member of the Sinian Dengying Formation in the Penglai gas area of the Central Sichuan Paleouplift were selected as the research object. Based on drilling core data, with comprehensive analyses of thin sections, cast thin sections, and imaging logging data, the sedimentary microfacies types in the study area were systematically classified. High-resolution rotating-drum core scanning technology was applied to classify and quantitatively analyze the pores, caves, and fractures throughout the entire core section. Six sedimentary microfacies were mainly developed in the second member of the Sinian Dengying Formation in the Penglai gas area, including mound core, mound flank, mound flat, mound base, mound cap, and still-water dolomite mud. Different sedimentary microfacies exhibited distinct lithological assemblages and imaging logging characteristics. The reservoir space in the study area was classified into seven types based on size and fluid migration capacity: intercrystalline pores, intercrystalline dissolved pores, small-scale pore-type caves, medium-scale pore-type caves, large-scale fracture-type caves, structural fractures, and dissolution fractures. Intercrystalline pores and intercrystalline dissolved pores were dominant in number but accounted for a smaller area, while small-, medium-, and large-scale caves contributed more significantly to reservoir space. Sedimentary microfacies exerted a significant influence on reservoir development. Based on the development degree of pores, caves, and fractures and their correlation with fracture development scale, the reservoirs in the study area could be classified into three types: high porosity and high permeability reservoirs represented by mound cores and mound flanks; high porosity and low permeability reservoirs represented by mound flats and still-water dolomite mud; and low porosity and low permeability reservoirs represented by mound bases and mound caps.
Hydrocarbon accumulation process, and effective natural gas accumulation in Permian Changxing Formation, southeastern Sichuan Basin
CHEN Qianglu, XI Binbin, YOU Donghua, JIANG Hong, LIU Xian
2025, 47(5): 963-973. doi: 10.11781/sysydz2025050963
Abstract(168) HTML (110) PDF-CN(43)
Abstract:
The Permian Changxing Formation in the southeastern Sichuan Basin has complex natural gas accumulation patterns. Using analysis methods such as thermal evolution history reconstruction, rock thin sections, mineral isotopes, and fluid inclusions, this study investigated the hydrocarbon generation process of source rocks, reservoir diagenesis and pore evolution, and thermal cracking records of paleo-oil reservoirs, thereby revealing the evolution process of natural gas accumulation in the Changxing Formation. The study showed that the development of high-quality reservoirs was controlled by grain shoal facies, reef facies, and dolomitization. During the Middle and Late Jurassic, crude oil charging formed paleo-oil reservoirs, which subsequently underwent phase transformation in the Late Jurassic to Early Cretaceous. This process involved in-situ thermal cracking of crude oil accompanied by partial sulfate reduction, transforming the paleo-oil reservoirs into high-temperature, high-pressure gas reservoirs. During the Himalayan orogeny, the intense compressional deformation in southeastern Sichuan caused positional readjustment of paleo-gas reservoirs. The favorable preservation conditions in weak structural deformation zones proved critical for the sustained preservation of these gas reservoirs. The reservoir pores contained pyrobitumen and dry gas, while the strong deformation zones exhibited poorer preservation conditions, leading to natural gas leakage. In addition to the pyrobitumen formed by oil cracking, the reservoir pores also developed late-stage calcite cementation, resulting in reservoir densification. Therefore, the preservation conditions of high-quality reservoirs and gas accumulations in the Permian Changxing Formation are crucial for the effective large-scale accumulation of natural gas in the southeastern Sichuan Basin.
Magnesian clay minerals and their influence on pores in the first member of Middle Permian Maokou Formation, southern Sichuan Basin
ZHANG Liyu, YOU Donghua, LI Rong, YU Lingjie, CHEN Qianglu, LIU Youxiang, ZHOU Lingfang
2025, 47(5): 974-987. doi: 10.11781/sysydz2025050974
Abstract(217) HTML (101) PDF-CN(44)
Abstract:
In recent years, multiple wells in the Sichuan Basin have produced industrial gas from the marlstone/marl-bearing limestone strata in the first member of the Middle Permian Maokou Formation (Mao 1), demonstrating promising exploration potential. Previous studies have suggested that the marlstone/marl-bearing limestone in Mao 1 exhibits self-generation and self-storage characteristics, forming low-porosity, low-permeability fracture-porosity type tight carbonate reservoirs with diverse storage spaces. Notably, diagenetic shrinkage pores and fractures formed during the transformation of sepiolite to talc contribute significantly to the storage space. To further investigate the genesis of clay minerals in Mao 1 and their significance for reservoir storage, rock samples were collected from six wells and one outcrop in the southern Sichuan Basin. A series of analyses, including microscopy, argon ion microscopy, X-ray diffraction (XRD), major and trace element analysis, strontium isotopic ratios (87Sr/86Sr), porosity tests, and nitrogen (N2) adsorption experiments, were conducted to study the characteristics of clay minerals in the marlstone/marl-bearing limestone of Mao 1. Microscopic observations and XRD results showed that the clay minerals mainly occurred as matrix minerals, irregular patches/spots, and replacements of biogenic calcareous shells. These minerals were primarily magnesian clay minerals such as talc and magnesium-rich montmorillonite, with minor amounts of sepiolite. Additionally, the marlstone/marl-bearing limestone in Mao 1 had relatively low Al2O3 contents and ΣREE concentrations, and its Y/Ho ratios and 87Sr/86Sr values resembled those of contemporaneous seawater, indicating limited terrigenous clastic input. This suggested that the magnesian clay minerals were originally authigenic clays formed during the deposition-early diagenesis period (in the sepiolite stage). The porosity/pore volume of the reservoir was positively correlated with the total clay mineral content and the magnesium-rich montmorillonite content, but no significant correlation or even a slight negative correlation was observed with the talc content. This indicated that the storage space in the marlstone reservoir was affected by the total clay content and the diagenetic evolution stage. The overall pore space increased with higher clay content. When thermal evolution was at the mature to highly mature stage and magnesium-rich montmorillonite was dominant, clay pores and fractures were developed, enhancing reservoir properties. However, excessive diagenetic evolution (over-mature thermal stage with higher talc content) was unfavorable for pore development.
Differential enrichment process of shale gas in Cambrian Qiongzhusi Formation in middle section of Deyang-Anyue rift trough, Sichuan Basin: evidence from fracture veins and fluid inclusions
LI Yanyou, WU Juan, ZHOU Zhipeng, JIANG Qianqian, SHI Xuewen, YANG Yuran, LUO Chao, HE Yifan, WANG Heng, LIANG Jingyi, DENG Bin
2025, 47(5): 988-1002. doi: 10.11781/sysydz2025050988
Abstract(255) HTML (94) PDF-CN(38)
Abstract:
In recent years, shale gas exploration in the Cambrian Qiongzhusi Formation within the Deyang-Anyue rift trough of the Sichuan Basin has achieved significant breakthroughs, establishing it as a crucial succession area for unconventional hydrocarbon exploration in the basin. Focusing on the Qiongzhusi Formation shale in the middle section of the rift trough, a series of analytical techniques were comprehensively employed, including core observations, thin-section analysis, cathodoluminescence (CL) imaging, laser in-situ U-Pb isotope dating of carbonate rock, fluid inclusion petrography, laser Raman spectroscopy, homogenization temperature testing, and basin numerical simulations. This study systematically investigated the fracture development characteristics, mineral-filling sequence, and the types, components, and thermobaric parameters of fluid inclusions, revealing the differential shale gas enrichment mechanisms in the study area. The results showed that bedding-parallel fractures, low- to high-angle tensile fractures, and high-angle shear fractures were developed. Specifically, well Z201 in the central rift trough exhibited densely developed high-angle shear fractures, while well WY1H on the western slope of the rift margin showed relatively weak fracture development. In contrast, well W201 in the high structural position of the Weiyuan area is characterized by high-angle shear fractures accompanied by hydrothermal mineral fillings. The fractures were predominantly filled with calcite, with local occurrence of quartz, barite, dolomite, and pyrite. Hydrocarbon inclusions in the vein minerals were diverse in type, with trapping temperatures decreasing in the order of methane > high-saturation hydrocarbon > bitumen. The trapping pressure for methane indicated that the Qiongzhusi Formation once widely experienced widespread overpressure to strong overpressure conditions. Combined with burial and thermal evolution histories, the results suggested that hydrocarbon accumulation in the study area experienced three stages: a shale oil generation stage from the Late Permian to Early Triassic, a shale gas enrichment stage from the Middle Jurassic to Early Cretaceous, and a shale gas adjustment stage from the Late Cretaceous to the present. Late-stage tectonic adjustments showed clear spatial differences. The central rift trough experienced minimal adjustments, preserving intact strong overpressure and thus serving as the optimal exploration target. The western slope of the rift trough margin remained overpressured with good gas-bearing properties. In contrast, the high structural position on the western rift trough margin experienced intense uplift and denudation during the Himalayan period, which reduced the pressure coefficient to 1.0 and significantly decreasing its gas-bearing capacities. Therefore, careful evaluation of preservation conditions is critical for exploration.
Isotope stratigraphy of Yurtus Formation in Keping area, Tarim Basin: chemical stratigraphic correlation and age constraints based on Carbon and Strontium isotopes
LU Hsinhsiung, YANG Tao, ZHU Bi
2025, 47(5): 1003-1016. doi: 10.11781/sysydz2025051003
Abstract(190) HTML (109) PDF-CN(40)
Abstract:
The Late Neoproterozoic to Early Cambrian represents a critical period in geological history. In the Keping area of the Tarim Basin, Xinjiang, the Ediacaran to Cambrian strata are well-exposed, but research on chemostratigraphy is relatively limited. This study selected the Lower Cambrian Yurtus Formation in the Xiaoerbulake Xigou and Kungaikuotan sections in the Keping area as the research subject. Carbon and Strontium isotope geochemistry were used to establish regional and global stratigraphic correlations and constrain the depositional age of the Yurtus Formation. The geochemical characteristics of the samples, including δ13Ccarb-δ18Ocarb crossplots, δ18Ocarb, and Mn/Sr ratios, confirmed that the δ13Ccarb and 87Sr/86Sr of most samples were not altered by later diagenesis and preserved the seawater characteristics at the time of deposition. Crossplots of 87Sr/86Sr versus Sr content and Rb content of the samples indicated that there was no significant addition of silicate components during the dissolution process. The inorganic carbon isotope results showed that two negative carbon isotope excursions were recorded in the carbonates from the Yurtus Formation in both sections, located at the base of limestone and shale interbeds and in the upper argillaceous limestone member, respectively, which could be correlated with other sections in the Keping area. The 87Sr/86Sr ratios of Yurtus Formation carbonates exhibited a "decline-rise" pattern, which could be correlated with the 87Sr/86Sr variations in the Tommotian Stage of Morocco and southeastern Siberia. The global positive carbon isotope excursion ZHUCE event was not identified within the Yurtus Formation. Combined with 87Sr/86Sr variation characteristics and paleontological data, it is inferred that there was a sedimentary hiatus within the formation, resulting in the absence of the middle and lower Stage 2 strata. Based on carbon and strontium isotope stratigraphic correlations combined with previous studies, it is concluded that the middle dolomite member of the Yurtus Formation lies near the Fortunian and Stage 2 boundary, and the upper limestone and shale interbeds to the top of the Yurtus Formation belong to the late Stage 2 and early Stage 3 of the Cambrian.
Filling characteristics and reservoir development models of Ordovician ancient underground rivers in Tahe Oil Field
ZHANG Chenhe, GAO Zhiqian, LÜ Hui, TIAN Jianhua, FAN Tailiang, YANG Debin, WU Jun, WEI Duan, YANG Jie, YANG Liuxin, ZOU Qianxi, LIU Jinxian
2025, 47(5): 1017-1034. doi: 10.11781/sysydz2025051017
Abstract(201) HTML (154) PDF-CN(34)
Abstract:
As a key research subject in karst systems, ancient underground rivers exhibit complex spatial structures and diverse filling patterns, posing significant geological challenges to the development of fracture and cavity reservoirs. Conventional seismic interpretation methods are no longer sufficient to support the research needs for these reservoirs. The unclear understanding of the spatial structure and reservoir models of these ancient underground rivers has severely limited the effective development of fracture and cavity reservoirs and well deployment in the Tahe area. Based on drilling data, well logging, conventional seismic interpretation, acoustic impedance inversion, shale content inversion, and production performance data, the study reconstructed the paleogeomor-phology as well as the water and fault systems that controlled the development of underground rivers. It further analyzed the filling characteristics and patterns of ancient underground rivers under different geomorphic settings. Additionally, by integrating data of wells intersecting underground rivers, the study explored the genesis of reservoirs in sinkholes, corridors, and channel expansion areas, and established reservoir development models under various geomorphic contexts. The results indicated that: (1) In regions of relatively high topography (e.g., highlands and gentle slopes) and in steep-slope recharge zones, large-scale caves filled with stacked breccias and sandstone are developed in sinkholes, whereas in steep-slope drainage zones, large-scale caves are predominantly filled with mudstone and breccia composites. (2) Along the geomorphic transition from highlands to steep slopes, reservoir types shift from fractured surrounding rocks to caves filled with sandstone or siltstone at geomorphic turning points, and eventually evolve into small caves filled with horizontal pores, fractures, and siltstone. (3) In the straight reaches of ancient underground rivers, reservoir development exhibits zonal differentiation: shallow recharge and drainage zones in highlands have poor reservoir physical properties, while deeper recharge and runoff zones demonstrate better properties. (4) At junctions and expansion zones of underground rivers, multi-phase collapse-filled or unfilled caves are mostly developed and exhibit favorable reservoir properties. In contrast, caves in corridors are typically filled with mudstone or mudstone-cemented breccia, resulting in poor reservoir quality.
Diagenesis and pore evolution of tight reservoirs in glutenite section of Bachu Formation, Tahe Oilfield
DIAO Xindong, LI Wenping, JIANG Dong, ZHOU Fangfang, HUO Zhipeng, GAO Jianbo, SUN Ningliang, CAO Zhifeng, WANG Jianan, WANG Yanan, CHEN Zhiwei, DONG Changyu
2025, 47(5): 1035-1048. doi: 10.11781/sysydz2025051035
Abstract(139) HTML (105) PDF-CN(21)
Abstract:
The tight reservoirs in the glutenite section of the Carboniferous Bachu Formation in the Tahe Oilfield represent an important future exploration target. However, research on these reservoirs remains quite limited, particularly regarding diagenesis and pore evolution, which severely restricts the exploration and development of tight oil and gas in the glutenite section of the Bachu Formation. Based on the analysis of lithology and sedimentary facies of the Bachu Formation, this study systematically compared diagenesis, pore evolution, and their differ-ences between glutenite and sandstone in the western and eastern areas of the Tahe Oilfield. The analysis integrated core observations, X-ray diffraction, cast thin sections, scanning electron microscopy, and cathodoluminescence data. The rock types in the glutenite section of the Bachu Formation in Tahe Oilfield were diverse, mainly composed of sandstone and glutenite. The compositional maturity, structural maturity, and physical properties of the reservoirs in the western area were higher than those in the eastern area. Reservoir diagenesis in the glutenite section was mainly characterized by compaction, cementation, and dissolution. In the western area, the main diagenetic processes were strong compaction, intense dissolution, and moderate to strong cementation. In the eastern area, compaction was also strong, cementation was even stronger, but dissolution was relatively weak. Based on vitrinite reflectance (Ro), the proportion of montmorillonite in the mixed layers of illite and montmorillonite, and the occurrence of iron-bearing calcite, it was concluded that the glutenite in both the western and eastern areas of the Tahe Oilfield entered the middle diagenesis stage B. Pore evolution was closely related to diagenesis. In the western area, the porosity of sandstone decreased from 38.8% to 8.8% after diagenesis, while the porosity of glutenite decreased from 30.5% to 4.5%. In the eastern area, the porosity of reservoirs in the glutenite section decreased from 27.0% to 4.0% through diagenetic evolution. This study provides a reference for the evaluation, exploration and development, and sweet spot selection of tight oil reservoirs in the glutenite section of the Bachu Formation in the Tahe Oilfield.
Geological characteristics of accumulation and favorable exploration directions of the second and third members in Ordovician Majiagou Formation of deep subsalt layers, Ordos Basin
CHEN Zhaobing, DUAN Chenyang, YAN Ruifeng, GAO Jianrong, BAI Ying, ZHANG Yanbing, XU Wanglin, ZHANG Yueqiao
2025, 47(5): 1049-1062. doi: 10.11781/sysydz2025051049
Abstract(165) HTML (107) PDF-CN(26)
Abstract:
The geological conditions for natural gas accumulation in the deep subsalt layers of the second and third members of the Ordovician Majiagou Formation (Ma 2 and Ma 3) in the Ordos Basin are complex, and favorable exploration directions in this area remain unclear. These disadvantages result in a lack of major breakthroughs in subsalt exploration. To clarify the geological characteristics of deep subsalt natural gas accumulation and to identify new exploration potential zones, a systematic analysis of the geological conditions was conducted using drilling, seismic, logging, and analytical testing data. The geological causes for poor gas testing performance in subsalt layers were revealed, and favorable exploration directions and accumulation models for deep subsalt natural gas were proposed. The results indicated that source rocks, reservoirs, and faults were the main factors controlling the distribution of deep subsalt natural gas. The Ma 2 and Ma 3 members in the deep subsalt layers exhibited spatial differences in hydrocarbon supply characteristics. In the eastern part of the basin, the hydrocarbon supply was mainly derived from Lower Paleozoic marine oil-type gas, with a relatively higher carbon isotope value in methane (-41.6‰). In the central part of the basin, the supply was a mixture of Lower Paleozoic marine oil-type gas and Upper Paleozoic coal-derived gas, with moderate amounts of carbon isotope in methane (-35.9‰). On the eastern side of the central paleo-uplift, the basin could be further divided into the northwestern and southwestern parts. In the northwestern part, the hydrocarbon supply was a mixture of Lower Paleozoic oil-type gas and Upper Paleozoic coal-derived gas, with an intermediate carbon isotope value in methane (-38.7‰). In the southwestern part, the supply was primarily from Upper Paleozoic coal-derived gas, with a significantly higher carbon isotope value in methane (-32.2‰). The deep subsalt reservoirs are diverse in types, mainly controlled by paleo-geomorphology and sedimentary facies zones, with evident zoning characteristics. High-quality reservoirs mainly develop gypsum mold pores, caves, and shoal pores. The role of faults in facilitating the migration and conduction of subsalt natural gas is relatively limited. The widely developed gypsum salt layers in Ma 2 and Ma 3 members exhibit strong plasticity and are prone to deformation, which to some extent obstructed and reduced the vertical and lateral migration capacity of natural gas. This resulted in the overall low abundance of deep subsalt natural gas. Based on the comprehensive analysis, three favorable exploration directions were proposed: lateral hydrocarbon supply on the eastern side of the central paleo-uplift, self-generated and self-stored reservoirs in the eastern basin, and effective source, reservoir and fault matching zones in the central basin. Corresponding accumulation models were established.
Reservoir differences and genesis between Upper Permian Upper Wuerhe Formation and Lower Triassic Baikouquan Formation in Mahu Sag, Junggar Basin
JIGEERBIEKE Yeernaer, HU Wenxuan, KANG Xun, LIU Wendong, ZHANG Wenjie
2025, 47(5): 1063-1074. doi: 10.11781/sysydz2025051063
Abstract(153) HTML (95) PDF-CN(32)
Abstract:
A conglomerate is an important type of oil and gas reservoir. Analyzing its heterogeneity and genesis is conducive to identifying main controlling factors and hydrocarbon accumulation mechanisms of conglomerate reservoirs, thereby providing guidance for oil and gas reservoir prediction and exploration deployment. This study focuses on two sets of conglomerate reservoirs from the Upper Permian Upper Wuerhe Formation and the Lower Triassic Baikouquan Formation in the Mahu Sag of the Junggar Basin, which are in unconformity contact. Based on core observations, petrographic identification, scanning electron microscopy (SEM), major element analysis, and detrital zircon U-Pb dating, the lithology and reservoir capacity of the two sets of reservoirs were systematically compared. The significant differences in parent rock composition, cement types, and reservoir space and properties of these two reservoirs were identified. The gravels of the Upper Permian Upper Wuerhe Formation in the Mahu Sag of the Junggar Basin were mainly composed of medium-basic igneous rock debris and tuff debris, the cements were mainly zeolite and calcite, and the dominant reservoir space was laumontite dissolution pores. In contrast, the gravels of the Lower Triassic Baikouquan Formation were mainly felsic in composition, the calcite exhibited heterogeneous cementation, and the dominant reservoir space was feldspar dissolution pores. Differences in sediment provenance were the fundamental cause of variations in framework grains and cements between the two sets of reservoirs, and the subsequent acidic fluid activities and differential water and rock interactions further influenced reservoir space types and assemblages. High-quality reservoirs in both formations predominantly developed in subaqueous distributary channel depositional microfacies within the fan-delta front facies belt. Depositional microfacies controlled the original pore structure, while parent rock composition, sedimentary evolution, diagenesis, and fault activities jointly shaped the development characteristics and physical property distribution of the reservoirs.
Oil and source correlation and sub-source hydrocarbon accumulation mechanisms of the third member of Eocene Liushagang Formation in Weixinan Depression, Beibu Gulf Basin: a case study of Weizhou 11 area
LI Xing, WU Keqiang, LI Ming, HU Desheng, JIAO Libo
2025, 47(5): 1075-1089. doi: 10.11781/sysydz2025051075
Abstract(138) HTML (108) PDF-CN(13)
Abstract:
The third member of the Eocene Liushagang Formation (LF) in the Weixinan Depression, Beibu Gulf Basin, has relatively low exploration levels and is an important area for increasing crude oil reserves and production. In recent years, the first exploration breakthrough was achieved in the sub-source reservoirs in the third member of LF in the Weizhou 11 area, but limited understanding of its oil source and accumulation mechanism has restricted exploration progress in this area. By comparing the geochemical characteristics of source rocks and crude oil, combined with analysis of hydrocarbon accumulation history, driving forces, and accumulation and migration pathways, the sub-source accumulation characteristics were clarified, and the accumulation model for the third member of LF in the Weizhou 11 area of the Weixinan Depression was established. The crude oil in the third member of LF could be classified into two types. Type Ⅰ crude oil generally showed high abundance of C30 4-methylsteranes, V-shaped distribution of regular steranes C27, C28, C29, and relatively heavy carbon isotopes in both whole oil and saturated aromatic hydrocarbons, originating from oil shales of the lower submember of the second member of LF during the peak oil generation stage. Type Ⅱ crude oil exhibited low abundance of C304-methylsteranes, L-shaped distribution of regular steranes C27, C28, and C29, and lighter carbon isotopes of whole oil and saturated aromatic hydrocarbons, indicating mixed contributions from the lower submember of the second member and upper submember of the third member of LF source rocks during the peak and high maturity stages. Intra-granular fractures and healed fractures were widely developed in quartz grains within LF3 reservoirs. The intra-granular fractures of quartz grains contained yellow-green and blue-green fluorescent inclusions, corresponding to crude oil with maturity less than 1%. The healed fractures of quartz grains contained blue fluorescent inclusions, corresponding to crude oil with maturity greater than 1%. This revealed key hydrocarbon accumulation stages at 25-16 Ma, 16-7.5 Ma, and 7.5 Ma to present. The residual pressure and buoyancy of source rocks were the main driving forces for sub-source hydrocarbon accumulation. In the early stage, LF3 reservoirs connected with oil shales in the central sag through fault displacement, with buoyancy-driven accumulation. In the middle to late stages, local oil shales entered the hydrocarbon generation peak, with sub-source injection occurring under residual pressure. High-quality source rocks and regional residual pressure jointly controlled the enrichment of crude oil in the Weizhou 11 area.
Element enrichment characteristics and genesis of coal rocks in Carboniferous Benxi Formation, central and eastern Ordos Basin
LI Bo, ZHANG Liwen, WANG Xiao, SUN Yanze, WANG Yanqing, SUN Lu, FU Deliang, WU Chenjun
2025, 47(5): 1090-1105. doi: 10.11781/sysydz2025051090
Abstract(162) HTML (335) PDF-CN(28)
Abstract:
Ten coal samples from two wells in the barrier island-swamp and lagoon-swamp depositional systems of the Carboniferous Benxi Formation in the central and eastern Ordos Basin were analyzed for major elements, trace elements, and industrial components to investigate the elemental enrichment characteristics and genesis of coal rocks under different depositional systems. The results indicated that in both depositional systems, the industrial components and the contents of major and trace elements in coal rocks are primarily controlled by the coal-forming environmental conditions. The elemental compositions are mainly influenced by provenance from the northern orogenic belt, marine depositional environments, and magmatic activities. In the barrier island-swamp depositional system, the major elements are dominated by Si and Al, which show strong correlations with ash content and originate from various clay minerals derived from the northern orogenic belt. The trace elements are mainly of inorganic origin. Elements such as Li and Zr show significant correlations with ash content, Si, and Al, indicating that they are primarily derived from terrigenous debris inputs of aluminosilicates. Sr is derived from clay minerals and volcanic rocks. Cu and Cr have mixed origins from volcanic debris and marine apatite. Be, V, and Cd originate from humic acids. In the lagoon-swamp depositional system, the major elements are also dominated by Si and Al. However, Mg, Ca, Mn, and P show weak correlations with ash content, Si, and Al, indicating that these elements are derived from the deposition and burial of higher plants. The trace elements are primarily of inorganic origin. Li and Sr originate from provenance inputs and organic minerals in marine sediments, respectively. Be, Ga, and related elements are of inorganic origin and are sourced from terrigenous debris such as feldspar, quartz, and clay minerals. Cu, Sr, and related elements are primarily derived from marine pyrite, apatite, and other minerals, or are enriched during diagenetic processes under the influence of seawater.
Geochemical characteristics and implications of pyrite sulfur isotope in Fengcheng Formation of Mahu Sag, Junggar Basin
JIANG Chengzhou, WANG Guiwen, WANG Song, ZHANG Yilin, HUANG Yuyue
2025, 47(5): 1106-1117. doi: 10.11781/sysydz2025051106
Abstract(190) HTML (105) PDF-CN(20)
Abstract:
The Fengcheng Formation in the Mahu Sag of the Junggar Basin spans the Carboniferous and Permian boundary and represents a typical shale oil reservoir deposited in a marine to continental transitional environment. Comparative studies using scanning electron microscopy (SEM) and the chromium reduction method have revealed that the total sulfur content in this formation is significantly higher than that of the mudstones in the seventh member of the Triassic Yanchang Formation in the Ordos Basin, the Cretaceous Nenjiang Formation in the Songliao Basin, and the Paleogene Lower Ganchaigou Formation in the Qaidam Basin. In addition, pyrite of diverse morphologies develops, including euhedral and framboidal pyrite. However, relevant research on pyrite genesis in this formation is still at an early stage. Based on major element analysis and previous studies, the study concluded that intense volcanic activities and sulfates from the Paleo-Asian Ocean were the main sulfur sources of pyrite in the Fengcheng Formation, and the sulfur-bearing hydrothermal fluids were the secondary source. Riverine input of weathered materials had a relatively minor influence. Meanwhile, based on the characteristics of pyrite sulfur isotope composition (δ34S), the evolution of the Fengcheng Formation was divided into two stages: Stage 1 extended from the top of the first member (C2f1) to the middle of the second member (C2-P1f2) of the Fengcheng Formation. The variations in sulfate concentrations controlled by the connectivity between the ocean and the lake basin led to significant positive and negative deviations in δ34S values. Stage 2 extended from the upper part of C2-P1f2 to the third member (P1f3). The fluctuations in δ34S values were mainly influenced by sedimentation rate. In addition, intense volcanic activities also caused negative deviations in δ34S values. Studies on factors affecting sulfur isotope fractionation in pyrite of the Fengcheng Formation is beneficial for further understanding the sulfur cycle and reconstructing diagenetic and sedimentary models. Finally, based on the total organic carbon (TOC) content and water environment variations indicated by sulfur isotopes, it is concluded that increased lake basin openness, stratification of high-salinity water caused by strong evaporation, and intense volcanic activities are the key factors influencing the enrichment and preservation of organic matter in the Fengcheng Formation.
Geochemical characteristics and genesis of Ordovician condensate gas in Shunbei area, Tarim Basin
CUI Futian, MA Anlai, YUN Lu, CAO Zicheng, LI Xianqing, HUANG Cheng, HE Shuai, GUO Chuyuan
2025, 47(5): 1118-1133. doi: 10.11781/sysydz2025051118
Abstract(185) HTML (119) PDF-CN(19)
Abstract:
To provide a theoretical basis for deep oil and gas exploration in the Shunbei area of the Tarim Basin, gas component and carbon and hydrogen isotope analyses were used to systematically explore the chemical composition and isotopic characteristics of Ordovician condensate gas in the Shunbei area. These data were compared with those of Ordovician condensate gas from the eastern Lungu, Yuke, and eastern and western Tazhong areas to investigate the genesis and formation process of condensate gas in the Shunbei area. The Ordovician condensate gas in the Shunbei area was mainly composed of hydrocarbon gases. The dryness coefficients of condensate gas in the southern section of No.5 fault zone (F5), F4, and F8 were mostly below 0.95, showing wet gas characteristics, while the natural gas in F12, F14, and the Shunnan area was predominantly dry gases. The non-hydrocarbon gases of the condensate gas in the Shunbei area mainly include minor amounts of carbon dioxide, nitrogen, and trace amounts of hydrogen sulfide. The alkane carbon and hydrogen isotope sequences generally exhibited a positive sequence distribution, with isotope reversal occurring in some samples. From the southern section of F5 to the Shunnan area, the maturity of natural gas gradually increased. The Ordovician condensate gas in the Shunbei area was primarily thermogenic oil-type gas. The natural gas in the southern section of F5, F4, and F8 was a mixed source of kerogen-cracking gas and crude oil-cracking gas, with crude oil-cracking gas dominated by wet gas formed in the early stage of cracking. In contrast, the natural gas in F12, F14, and the Shunnan area was mainly crude oil-cracking gas with high maturity, showing dry gas characteristics. Through geochemical analysis of the natural gas, the regional differences in condensate gas genesis in the Shunbei area are revealed, providing a basis for the evaluation and exploration deployment of deep oil and gas resources in the Tarim Basin.
Geochemical characteristics and development models of salinized lacustrine mixed-source rock: a case study of upper member of Lower Ganchaigou Formation in Yingxiongling structural belt, western Qaidam Depression
ZHOU Fei, SHAO Zeyu, ZHANG Jing, CHEN Guo, ZHANG Hailong, XU Yaohui, HAO Wanxin, SHA Wei, WU Yunzhao, ZHANG Hao
2025, 47(5): 1134-1149. doi: 10.11781/sysydz2025051134
Abstract(187) HTML (105) PDF-CN(17)
Abstract:
This study aims to systematically evaluate the hydrocarbon generation potential of the saline lacustrine mixed-source rocks in the upper member of the Lower Ganchaigou Formation in the Yingxiongling structural belt of the Western Qaidam Depression in the Qaidam Basin, and to reveal the organic matter-rich development model. By combining organic and inorganic geochemical methods, a systematic geochemical analysis was conducted on mixed sedimentary rock samples of different lithologies from the study area, focusing on organic matter abundance, type, maturity, and sedimentary environment characteristics, thereby reconstructing the depositional process of the source rocks. The results showed that the mixed sedimentary rocks in the upper member of the Lower Ganchaigou Formation in the Qaidam Basin generally met the criteria for good to excellent source rocks, with argillaceous shale and calcareous shale exhibiting particularly outstanding performance, showing an average TOC content of 1.37% and hydrocarbon generation potential exceeding 8.36 mg/g, significantly higher than source rocks of other lithologies. The organic matter in the source rocks was dominated by Type Ⅰ to Ⅱ kerogen, mainly derived from lower aquatic organisms such as bacteria and algae, with its thermal evolution at the low to mature stage. The source rocks were deposited in a highly evaporative saline lacustrine environment under a hot and arid paleoclimate, where significant water salinity stratification led to stable anoxic-reducing conditions at the bottom, effectively promoting organic matter preservation. Provenance analysis revealed that the sediments were primarily derived from felsic igneous rocks, and moderate paleoproductivity provided the material basis for organic matter enrichment. The study proposed that under arid climate and shallow-water depositional conditions, salinity stratification-induced reducing to strongly reducing bottom-water environments were the key mechanisms for the enrichment of bacterial and algal organic matter in calcareous/argillaceous shales. The findings provide new insights into the formation mechanisms of saline lacustrine source rocks and offer guidance for oil and gas exploration in the Qaidam Basin and similar regions.
Differential characteristics of internal structures of strike-slip faults and their multiscale interactive identification mode: a case study of Carboniferous volcanic rocks in Chepaizi Uplift, Junggar Basin
GUI Shiqi, LUO Qun, ZENG Lianbo, WANG Qianjun, HE Xiaobiao, WANG Liang, WANG Shichen, ZHANG Yuejing
2025, 47(5): 1150-1162. doi: 10.11781/sysydz2025051150
Abstract(94) HTML (39) PDF-CN(21)
Abstract:
Multi-phase transpressive strike-slip faults are well developed in the Carboniferous strata of the Chepaizi Uplift, Junggar Basin. These faults are characterized by severe weathering at the top, strong heterogeneity, poor stratification, and indistinct marker beds, resulting in great difficulty in fault identification. To better understand the unit characteristics within the fault zone and establish a method for their identification, a detailed analysis was carried out based on field geological investigations. By integrating core data, well logging, seismic data, and analytical testing, the differential characteristics of internal structural units of transpressive strike-slip faults at different levels were clarified. On this basis, an innovative multiscale interactive calibration identification mode was established. The results showed that the strike-slip faults consist of three structural units: fault core, slip-fracture zone, and induced fracture zone. Faults of level 4 and above exhibit complete development of all three units and five zones, while level 5 faults do not develop fault core. Fault cores develop fault gouge with severe cementation, high compaction, and almost no permeability. In contrast, both the slip-fracture zones and induced fracture zones develop multiple sets of fractures, accompanied by dissolution pores. These zones have higher acoustic time (AC) and caliper (CAL) log values, and lower bulk density (DEN), among which the slip-fracture zones have better physical properties. For the same fault, the active side exhibits more extensive and larger-scale fracture development than the passive side. Across a fault zone, from protolith to fault zone and then back to protolith, the degree of core fragmentation increases first and then decreases; AC and CAL values also increase first and then decrease; DEN values decrease first and then increase; imaging logging images change from dark to bright. The proposed identification mode enables quantitative characterization of internal fault structures and provides a method for fracture prediction in areas lacking geological data. This approach holds important practical value for clarifying the controlling roles of strike-slip faults in hydrocarbon accumulation.
Application of multivariate statistical analysis in oil and source correlation: a case study of mixed-source oils from middle and shallow strata in coastal area of Qikou Sag, Bohai Bay Basin
PAERHATI Paerzhana, SONG Yu, ZHU Kai, SHI Qianru, HUANG Chuanyan, JIANG Shu
2025, 47(5): 1163-1176. doi: 10.11781/sysydz2025051163
Abstract(110) HTML (38) PDF-CN(15)
Abstract:
The coastal area of the Qikou Sag of Bohai Bay Basin has become an important target for increasing reserves and production in the Dagang Oilfield in recent years. In this area, crude oil from the middle and shallow strata of the region exhibited complex origins, severe mixing, and significant secondary alterations. Multivariate statistical analysis is an efficient, convenient, and accurate data processing method. In recent years, many researchers have applied this method to hydrocarbon source correlation in various regions, yielding fruitful research results. However, its application in source correlation of mixed-source oils requires further development. Guided by petroleum geology and geochemistry theory, this study characterized the geochemical characteristics of crude oils from the middle and shallow strata (the first member of the Shahejie Formation, Dongying Formation, Guantao Formation, and Minghuazhen Formation) and main source rocks (the third member of the Shahejie Formation, the first member of the Shahejie Formation, and the third member of the Dongying Formation). Then, cluster analysis, principal component analysis, and discriminant analysis were applied for oil and source correlation. The results demonstrated that the maturity of source rocks in different strata of the coastal area of the Qikou Sag was relatively similar, and the middle and lower units of the first member of the Shahejie Formation had better hydrocarbon quality. The precursor for hydrocarbon generation of these source rocks was mainly of mixed origin. The middle and upper units of the first member of the Shahejie Formation and the third member of the Dongying Formation source rocks were deposited under weakly reducing, freshwater conditions, while the third member of the Shahejie Formation and the lower unit of the first member of the Shahejie Formation source rocks were formed under reducing, fresh to brackish water conditions. The main secondary alteration in the study area was biodegradation. The crude oils from different strata could be classified into two types: Type Ⅰ crude oil, distributed in the first member of the Shahejie Formation, was characterized by low Pr/Ph values and high tricyclic terpane content. It mainly originated from a mixture of source rocks in the third member of the Shahejie Formation and the middle and lower units of the first member of the Shahejie Formation. Type Ⅱ crude oil was distributed in the Dongying Formation, Guantao Formation, and Minghuazhen Formation. It featured high Pr/Ph values and low tricyclic terpane content, and was mainly originated from mixed source rocks in the upper unit of the first member of the Shahejie Formation and the third member of the Dongying Formation. Discriminant analysis was applied to validate the oil and source correlation results, resulting in an initial classification accuracy of 100% and a cross-validation accuracy of 90.0%. These results indicated that the oil and source correlation results were reliable. The study reveals the promising application potential of multivariate statistical analysis method in source correlation for mixed-source oils.
Research status of self-sealing mechanisms of caprocks and fractures during CO2 geological storage
ZHOU Bing, LUN Zengmin, ZHANG Jie, TANG Yongqiang, QI Yibin, XIAO Pufu, YIN Xia
2025, 47(5): 1177-1184. doi: 10.11781/sysydz2025051177
Abstract(310) HTML (127) PDF-CN(41)
Abstract:
Through a systematic review of the existing literature, the current research on the dynamic effects of material re-equilibration on caprock and fracture self-sealing patterns during CO2 geological storage is summarized. Laboratory experiments, field monitoring at well sites, and numerical simulation studies generally show that CO2 injection will not breach relatively thick caprocks in the short term, and even if the directly overlying caprock is breached, CO2 will be secondarily trapped and sealed by multi-layered caprock systems. The mechanisms of caprock self-sealing mainly include self-sealing due to injection of supercritical-phase CO2 into confined spaces, mechanical self-sealing resulting from rock pore structure compression or particle migration, and self-sealing induced by chemical reactions. Under the fluid and rock interaction mechanisms after CO2 injection, fractured or faulted systems tend to progressively develop self-sealing over time. Low CO2 flow rates and small fracture apertures are identified as the main factors in the formation of fracture/ fault self-sealing. However, the dynamic quantitative effects of CO2 physical diffusion and chemical reactions on caprocks and fractures under time-scale effects still require further detailed investigation. Currently, research on this dynamic process at home and abroad is gradually evolving toward a systematic approach that integrates multi-spatiotemporal scale coordination, multiple research methods, and multi-factor coupling, and it is increasingly becoming a hot topic in research on CO2 geological storage.
Evaluation of fault lateral sealing for CO2 storage in offshore saline aquifers: a case study of Enping A Oilfield in Enping Sag, Pearl River Mouth Basin
CHAI Yukun, REN Xu, DAI Jianwen, XIE Mingying, WANG Hua, WANG Shenghao, FENG Shasha, QIN Chaozhong, WANG Tao, GAN Quan
2025, 47(5): 1185-1197. doi: 10.11781/sysydz2025051185
Abstract(78) HTML (51) PDF-CN(12)
Abstract:
Carbon capture, utilization, and storage (CCUS) has been considered a key strategy in addressing global climate change and holds strategic importance in achieving the "dual carbon" goals. Among various approaches, CO2 storage in saline aquifers has been identified as the primary method of carbon sequestration. The sealing capacity of a fault seal is regarded as a crucial criterion for site selection in CO2 geological storage, and the accurate evaluation of fault lateral sealing is considered critical for ensuring storage security. At present, most evaluation methods for lateral sealing focus on qualitative and quantitative assessments of conventional hydrocarbon reservoirs, while systematic methods and frameworks for CO2 storage in saline aquifers remain limited. To address the key challenge of evaluating CO2 storage security in offshore saline aquifers, the Enping A Oilfield in the Enping Sag of the Zhu Ⅲ Depression, Pearl River Mouth Basin, was selected as a case study. The heterogeneity of mineral distribution and cementation within key faults was investigated. Based on parameters including Shale Gouge Ratio (SGR), Across-Fault Pressure Difference (AFPD), and sealed gas column height, a method was developed for evaluating fault lateral sealing capacity for CO2 storage, enabling assessments of sealing performance and identification of target layers for CO2 storage. The results showed that the F1 and F3 faults possess static sealing capacity at the Yuehai 320 and Hanjiang 420 layers. The maximum CO2 plume column heights are estimated to be 50 to 400 m and 175 to 300 m, respectively. Both formations exhibit favorable sealing and storage properties for CO2 and can be consi-dered as target layers for CO2 storage in the Enping A Oilfield. Based on the findings, a spatial sealing evaluation technique for faults was developed. By integrating fault throw-distance curves and single-well clay content data for different layers, fault surface attributes and fault sealing ternary diagrams were generated, enabling quantitative evaluation of fault zone sealing. The study provides a basis for the quantitative screening and assessment of saline aquifers for future CO2 storage.
Permeability reduction effect and correction for low-permeability tight sandstone reservoirs under bound water saturation
DENG Wenlong, LIU Liping, DAI Ping, LI Li, GAO Shunhua, LIN Xiaobing
2025, 47(5): 1198-1211. doi: 10.11781/sysydz2025051198
Abstract(100) HTML (65) PDF-CN(16)
Abstract:
Tight sandstone reservoirs with low-permeability under formation conditions are highly prone to bound water saturation, and the permeability of dried samples obtained by standard methods can not accurately reflect the reservoir properties. Rock samples from different reservoir types in the Western Sichuan Depression were collected for water-bearing formation permeability experiments, including the Jurassic Penglaizhen Formation (JP) and Jurassic Shaximiao Formation (JS) of the Xinchang Gas Field, and JS of the Zhongjiang Gas Field. The microscopic characteristics of reservoirs were systematically characterized using thin-section observation, X-ray diffraction (XRD), cathodoluminescence, scanning electron microscopy (SEM), and energy spectrum analysis. The influencing factors of the reduction in effective permeability under bound water saturation were analyzed, and a permeability correction method was established. This study indicated that the total amount of illite-smectite (I/S) mixed-layer minerals and the relative content of smectite in I/S mixed-layer minerals were the main factors influencing the permeability reduction under bound water saturation. Compared to the Xinchang JP gas reservoir, the diagenetic environment for the Zhongjiang JS and Xinchang JS gas reservoirs was more favorable for the development of chlorite and illite, and the smectite content in I/S mixed-layer minerals was lower. Among them, the Zhongjiang JS gas reservoir was the most favorable and exhibited the smallest permeability reduction and the least difference across reservoirs with different physical properties under bound water saturation. Given similar clay mineral development characteristics, particle size, pore size, and carbonate cement were other important factors that affected permeability reduction in water-bearing formations. The Xinchang JP gas reservoir had the smallest clastic particles and the largest difference in reservoir physical properties, and the permeability reduction times and differences across reservoirs with different physical properties were the largest under bound water saturation. The Xinchang JS gas reservoir had smaller clastic particles and pore sizes compared to the Zhongjiang JS gas reservoir, and its carbonate cements were unevenly distributed, resulting in poor pore connectivity. Overall, the Xinchang JS gas reservoir was more prone to bound water saturation and permeability reduction. A permeability correction method for tight sandstone reservoirs was established. This method is universally applicable and can be widely promoted, providing more accurate physical parameters for reserve estimation and productivity prediction.
2025, 47(5): 1212-1212.
Abstract:
2025, 47(5): 1212-1212.
Abstract: